
半导体,是指常温下导电性能介于导体与绝缘体之间的材料,其具备一定的带隙(Eg)。一般各占一半导体材料而言,认为合适而使用合宜的光激发能够激发价带(VB)的电子激发到导带(CB),萌生电子与空穴对。

图1. 半导体的带隙结构概况图
在研讨中,结构表决性能,各占一半导体的能带结构测试非常关键。经过各占一半导体的结构施行表征,可以经过其电子能带结构对其光电性能施行解析。对于半导体的能带结构施行测试及剖析,一般应用的办法有以下几种(如图2):
紫外可见漫反射测试及计算带隙Eg;
VB XPS测得价带位置(Ev);
SRPES测得Ef、Ev以及欠缺态位置;
经过测试Mott-Schottky曲线获得平带电势;
通电流通过负性计算获得能带位置.

图2. 半导体的带隙结构常见测试形式
一、紫外可见漫反射测试及计算带隙Eg
1.1. 紫外可见漫反射测试
1)制样:
环境测试着制做样:往图3左图所示的样品槽中参加数量适宜的BaSO4面子(因为BaSO4面子几乎对光没有借鉴,可做环境测试),而后用盖玻片将BaSO4面子压实,要得BaSO4面子补充整个儿样品槽,并压成一个最简单的面,来不得凸出和向下陷进去,否者会影响测试最后结果。
样品测试着制做样:若样品较多完全可以补充样品槽,可以直接将样品补充样品槽并用盖玻片压平;若样品测试不够补充样品槽,可与BaSO4面子混合,制成一系列等品质分数的样品,补充样品槽并用盖玻片压平。

图3. 紫外可见漫反射测试中的制样过程图
2)测试:
用积分球施行测试紫外可见漫反射(UV-VisDRS),认为合适而使用环境测试样(BaSO4面子)测试环境基线(挑选R百分之百标准样式),以其为background测试基线,而后将样品放入到样品卡槽中施行测试,获得紫外可见漫反射光谱。测试完一个样品后,从新制样,接着施行测试。
1.2. 测试数值处置
数值的处置主要有两种办法:截线法和Tauc plot法。截线法的基本原理是觉得半导体的带边波长(λg)取决禁带宽度Eg。两者之间存在Eg(eV)=hc/λg=1240/λg(nm)的数目关系,可以经过求取λg来获得Eg。因为到现在为止很少用到这种办法,故不做周密绍介,以下主要来绍介Taucplot法。
具徒手体操作:
1)普通经过UV-Vis DRS测试可以获得样品在不一样波长下的借鉴,如图4所示;

图4. 紫外可见漫反射图
2)依据(αhv)1/n = A(hv - Eg),那里面α为吸光指数,h为普朗克常数,v为频率,Eg为半导体禁带宽度,A为常数。那里面,n与半导体类型有关,直接带隙半导体的n取1/2,间接带隙半导体的n为2。
3)利用UV-Vis DRS数值作别求(αhv)1/n和hv=hc/λ, c为光速,λ为光的波长,所作图如图1.5所示。所得谱图的纵坐标普通为借鉴值Abs,α为吸光系数,两者成正比。经过Tauc plot来求Eg时,无论认为合适而使用Abs仍然α,对Eg值无影响,可以直接用A代替α,但在论文中应解释明白。
4)在origin中以(αhv)1/n对hv作图,所作图如图5所示ZnIn2S4为直接带隙半导体,n取1/2),将所获得图形中的直线局部外推至横坐标轴,相交的点即为禁带宽度值。

图5. Tauc plot图

图6. W18O19以及Mo夹杂W18O19 (MWO-1)的紫外可见漫反射图和Tauc plot图

图7. ZnIn2S4(ZIS)以及O夹杂ZIS的紫外可见漫反射图和Taucplot图
图6与图7所示是文献中经过测试UV-VisDRS计算相应半导体的带隙Eg的图。
二、 VB XPS测得价带位置(Ev)
依据价带爱克斯射线光电子能谱(VB XPS)的测试数值作图,将所获得图形在0 eV近旁的直线局部外推至与水准的延长线相交,相交的点即为Ev。
如图8,依据ZnIn2S4以及O夹杂ZnIn2S4的VB XPS图谱,在0 eV近旁(2 eV和1 eV)发觉有直线局部施行延长,并将小于0 eV的水准局部延长获得的相交的点即作别为ZnIn2S4以及O夹杂ZnIn2S4的价带位置对应的能+羭縷(1.69 eV和0.73 eV)。如图9为TiO2/C的VB XPS图谱,同理可获得其价带位置能+羭縷(3.09 eV)。

图9. TiO2/C HNTs的VB XPS图
三、SRPES 测得Ef、Ev以及欠缺态位置
图2.3所示是文献中经过测同步辐射光电子发射光谱(SRPES)计算相应半导体的Ef、Ev以及欠缺态位置。图2.3a是经过SRPES测得的价带结构谱图,经过做直线局部外推至与水准的延长线相交,获得价带顶与费米能量级的能+羭縷差值(EVBM-Ef);该谱图在接近0 eV处(费米能量级Ef)为欠缺态的结构,如图2.3b所示,取将积分平面或物体表面的大小一分为二的能+羭縷位置定义为欠缺态的位置。图2.3c是测得的二次电子的截至能+羭縷谱图,加速能+羭縷为39 eV,依据计算加速能+羭縷与截至能+羭縷的差值,即可获得该材料的功函数,进一步获得该材料的费米能量级(Ef)。

图10. W18O19以及Mo夹杂W18O19 (MWO-1)的SRPES图以及其带隙结构概况图
四、经过测试Mott-Schottky曲线获得平带电势
4.1. 测试办法
在一定液体浓度的Na2SO4溶液中测试Mott-Schottky曲线,具体的测试办法如下所述:
配备布置一定液体浓度的Na2SO4溶液;
将一定量待测样品散布于一定比例的酒精与水混合液中,超声散布后,将导电玻璃片浸入(注意扼制浸入平面或物体表面的大小)或将一定量样品滴在一定平面或物体表面的大小的导电玻璃上,待其干燥后可施行测试(此步骤制样必须要平均,尽有可能薄。样品超声前可先施行研磨,超声时可在酒精溶液中加十分细致量乙基纤维素或Nafion溶液);
三电极整体体系测试,电解液为Na2SO4溶液,参比电极为Ag/AgCl电极,对电极为铂网电极,办公电极为具要等待测样品的导电玻璃;
在一定电压范围(普通为-1 ~ 1 V vs Ag/AgCl)施行测试,变更测试的频率(普通为500、1000以及2000 Hz),获得相应的测试曲线。具体的设置界面如图11和图12所示。

图11. 测试设置界面1

图12. 测试设置界面2
4.2. 测试数值处置
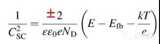
测试的数值改换为txt款式,依据测得的数值可计算半导体材料的平带电势。对于半导体在溶液中形成的空间电荷层(耗尽层),可用以下公式计算其平带电势:

斜率为负时对应p型半导体,斜率为正时对应n型半导体。因为电极的电容由双电层电容(Cdl)以及空间电荷电容(Csc)两局部组成,且

不过普通Csc <

图13. 保留的txt数值

图14. Mott-Schottky曲线图
图15与图16所示是文献中经过测试Mott-Schottky曲线获得半导体的平带电位(导带位置Ev)。如图15,依据Co9S8和ZnIn2S4的Mott-Schottky曲线图,可以获得Co9S8和ZnIn2S4的平带电位作别为 -0.75 eV和 -0.95 eV,因为斜率为正时对应n型半导体,Co9S8和ZnIn2S4均为n型半导体,可以觉得其导带位置为-0.75 eV和 -0.95 eV。如图16为P-In2O3和C-In2O3的Mott-Schottky曲线图,同理可获得其平带位置。

图15. Co9S8和ZnIn2S4的Mott-Schottky曲线图

图16. P-In2O3和C-In2O3的Mott-Schottky曲线图
五、经过计算获得能带位置
对于纯的单二分之一导体,可依据测得的禁带宽度(0.5Eg)来计算其导带和价带位置:
价带:EVB = X - Ee + 0.5Eg
导带:ECB = X - Ee - 0.5Eg
那里面,X为半导体各元素的电负性的几何均匀值计算的半导体的电负性,Ee为游离电子在氢标电位下的能+羭縷。
值当注意的是,在半导体存在欠缺还是与其他材料复合乎时常,实际的带隙结构计算有可能存在偏差,普通经过面前提到的测试办法与该计算接合运用,获得比较合理的测试最后结果。
文章来自:www.6263333.com(爱彼电路)是精密PCB线路板生产厂家,专业生产微波线路板,rogers高频板,罗杰斯电路板,陶瓷电路板,HDI多层电路板,FPC软硬结合板,盲埋孔电路板,铝基板,厚铜电路板