本文深入介绍了高频线路板传输线的损耗。我们将讨论导体损耗、信号走线电阻、介电损耗、介电损耗角正切/耗散因数和总插入损耗。在我们之前的PCB传输线系列中,我们为您提供了传输线的特征阻抗:

其中:
R = 每单位长度的线路导体电阻 (pul)
L = 线路导体的电感线圈 pul
G = 信号和返回路径之间的电导(由于介电材料) pul
C = 信号和返回路径之间的电容 pul(它随着电介质的 Dk 而增加)
对于均匀传输线,R、L、G、C 在其上的每一点都是相同的,因此Zc传输线上的每一点都具有相同的值。
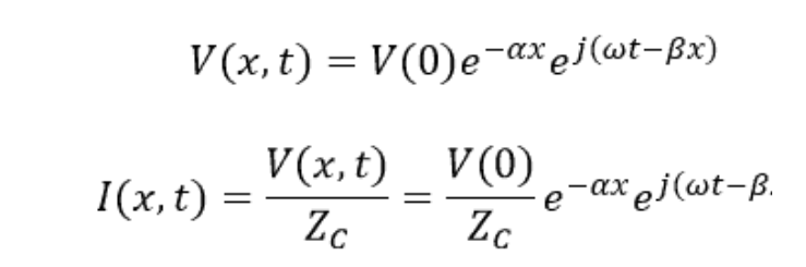
对于频率进行的正弦信号在线的方向上,每个点和时间的电压和电流表达式都由下式给出:

其中 α 和 β 的实部和虚部,由下式给出:

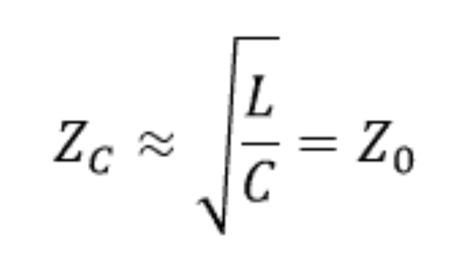
在我们感兴趣的频率上,R <
<ωl 和 G <<ωC,所以:
ωl>

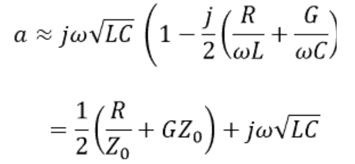
所以:


这意味着波长以每单位长度传播延迟,传播,并在沿线传播时衰减。
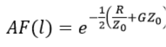
长度为 l 的传输线的信号衰减系数为:

衰减或信号损耗因子通常以 dB 表示。

这样,dB 损耗与线路长度成正比。因此,我们可以将上述单位长度的dB损耗表示为:

我们通常省略减号,记住它是一个 dB 损失——总是从信号强度中减去 dB。
以上也称为传输线单位长度的总插入损耗,写为:

现在 R/Z0 分量的损耗与 R 成正比,单位长度的电阻称为导体损耗,这是由于构成传输线的导体的电阻。它由'alfa'C代表。 GZ0的损耗与G-介电材料的电导成正比,称为介电损耗-用'alfa'd表示。
导体损耗
其中 R 是每英寸导体的电阻。
现在狗万
传输线中有两条线——信号走线和返回路径。
通常返回路径是平坦的,但返回电流在平坦表面上分布不均匀——我们可以证明大部分电流集中在三倍宽度的条带上。
信号走线电阻
信号走线的整个截面积是否平均参与信号电流?答案是:情况并非总是如此——这取决于信号的频率。
在非常低的频率下——直到 大约1 MHz,我们可以假设整个导体都参与到信号电流中,因此 Rsigis 与信号走线的'alfa'C 电阻,即:

其中:
ρ = 铜电阻,以欧姆-英寸为单位
W = 以英寸为单位的走线宽度(例如:5 密耳,即 0.005 英寸 50 欧姆走线)
T = 以英寸为单位的走线厚度(通常为 ½ 盎司至 10 盎司,即 0.0007" 至 0.0014")
例如,对于 5 密耳宽的走线:

出于我们的目的,我们对频率 f 下的 A/C 电阻感兴趣。在这里,皮肤效果进入了画面。根据趋肤效应,频率为 f 的电流只传播到一定深度,称为导体趋肤深度,即:

下表显示了不同频率下的趋肤深度值:

我们从上面看到,在 4 MH 时,趋肤深度等于 1 盎司铜厚,而在 15 MHz 时,它等于 ½ 盎司铜厚。在 15 MHz 以上,信号电流仅在深度小于 0.7 mil 时传播,并且随着频率的增加而继续减小。
由于我们专注于高频行为,我们可以安全地假设 T 大于我们感兴趣的频率处的趋肤深度,因此我们将在信号电阻公式中使用趋肤深度而不是 T。
我们使用 2δ 而不是 δ,因为电流使用了导体的所有外围——技术上 2W 可以用 2 (W + T) 代替。
返回信号仅沿最靠近信号轨道的表面沿厚度 δ 传播,
由于导体-电介质界面上的铜表面粗糙度导致导体损耗增加,
要知道,在电路板中,“铜导体-电介质界面”从来都不是光滑的(如果是光滑的,铜导体很容易从电介质表面剥离);它被粗糙化成齿状结构,以增加电路板上导体的剥离强度。
对于典型的覆铜板,PCB传输线损耗如何
其中:
hz = 牙齿的峰值高度
hz 是表面粗糙度的量度。
通常,Hz 从一种箔片类型到另一种箔片类型不同。典型 v价值是:
如果粗糙度 hz 小于趋肤深度(在非常高的频率下就是这种情况),这将导致额外的导体损耗。我们通过使用不同频率的不同箔制作测试电路板,通过实验观察到这种增加。
我们发现 VLF 箔的损耗低于普通 HTE 箔的损耗。
对于频率大于 1 GHz 的射频/微波电路板,这些由于粗糙度导致的导体损耗在长信号线上会变得明显。

低频,还是:

对 R 使用上述等式中较高的一个。
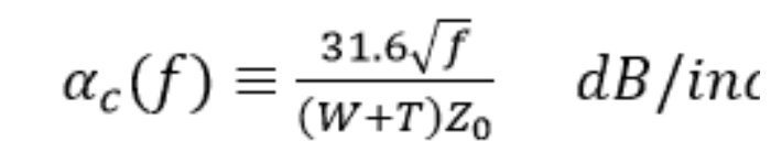
在高频率下:

如果 f 是 GHz,W 和 T 是密耳,我们得到:

让我们将其计算为 5 密耳、1 盎司、50 欧姆和 4 密耳、0.5 盎司和 50 欧姆的电线:

需要注意的重要一点是,当频率大于 50 MHz 时,导体损耗与频率的平方根成正比:

预测由铜粗糙度引起的额外损耗并不容易——没有简单的公式。
介电损耗
如前所述,这是传输线中每单位长度的介电损耗 dB,
其中:
G = 介电材料的电导率
Z0 = 传输线阻抗约为√L/C
PCB介电材料的两大特点:
1. 介电常数-Dk 或 Er- 也称为相对介电常数。
2. 损耗因数-Df-也称为tanδ。
PCB材料制造商公布Er和Df的值。
现在我们将找出 G 和 Er、Df 之间的关系。
介电损耗角正切/耗散因数
我们可以将两个导体之间的介电层建模为电导 G 和并联电容 C:
该导体上的交流电压和频率电流为:
IG 是通过 G 的电流,IC 是通过电容器的电流。
tanδ 也称为损耗因数 Df≡tanδ。
如果 σ 是介电材料的有效电导率,
通过实验观察,tanδ或Df随频率变化很小,可以认为是一个与所有实际目的无关的频率值:
上式显示了电导率 σ,因此电介质的电导率 G 随频率增加。这是您可以预期的频率越高,电介质偶极子机械运动中的散热越大,并且它们与电介质上的交变电场对齐。 (我们称之为“阻尼振动偶极矩”。)
回想一下√LC 给出了传输线单位长度的传播延迟-Pd -。
我们从上面看到介电损耗与频率成正比。
为了了解它的尺寸,让我们考虑PCB材料Isola 370HR和I-Speed和I-Meta:
总插入损耗
导体损耗-'alfa'C-和介电损耗的总和:'alfa'd。
我们衡量损失的价值。 (单独测量导体和介电损耗并不容易。)
如果我们测量不同频率下(例如从1 GHz到10 GHz)正弦信号的插入损耗
如果我们现在绘制'alfa'ins/√fvs√f,我们期望得到一个可以确定A1和A2的线性图。