PCB线路板板料的介电常数(Dk)或相对介电常数并不是永恒固定的常数 – 尽管从它的起名称上像是一个常数。例如,材料的Dk会随频率的变动而变动。一样,假如在同一块材料上运用不一样的Dk测试办法,也有可能会勘测得出不一样的Dk值,纵然这些个测试办法都是正确没有差错的。随着线路板料料越来越多地应用于毫米波频率,如5G以及先进匡助操纵系统等领域,了解Dk随频率的变动以及哪种Dk测试办法是“合宜”的是十分关紧的。
尽管诸如IEEE和IPC等团体都有专门的委员会来研究讨论这一问题,但到现在为止还没有一个标准的行业测试办法来勘测毫米波频率下线路板料料的Dk。这并不是由于匮缺勘测办法,事情的真实情况上,Chen et al.1等人刊发的一篇参照论文中描写了80多种测试Dk的办法。不过,没有哪一种办法是理想的,每种办法都具备它的长处和不充足,特别是在30到300 GHz的频率范围内。
一般有两大类的测试办法用于确认线路板料料的Dk或Df(伤耗角正切或tanδ):即原材料勘测,还是在由材料制成的电路施行勘测。基于原材料的测试倚赖于高品质靠得住的测试夹具和设施,直接测试原材料可以取得Dk和Df值。基于电路的测试一般是运用常见电路并从电路性能中提出取得材料参变量,例如勘测谐振器的核心频率或频率响应。原材料的测试办法通例会引入了测试夹具或测试装置有关的不确认性,而电路测试办法里面含有来自测试电路预设和加工技术的不确认性。因为这两种办法不一样,勘测最后结果和正确度水准一般不完全一样。
例如,由IPC定义的X波段夹紧式带状线测试办法,是一种原材料的测试办法,其最后结果就没有办法与相同材料的电路测试的Dk最后结果完全一样。夹紧式带状线原材料测试办法是将两片待测材料(MUT)夹在一个特别的测试夹具中来构建一个带状线谐振器。在待测材料(MUT)和测试夹具中的薄谐振器电路之间会有空气,空气的存在会减低勘测的Dk。假如在相同的线路板料料向上行电路测试,与没有夹带空气,测得的Dk是不一样的。对于经过原材料测试确认的Dk公差为±0.050的高频线路板料料,电路测试将获得约±0.075的公差。
线路板料料是各向异性的,一般在三个材料轴上具备不一样的Dk值。Dk值一般在x轴和y轴间区别细小,因为这个对于大部分数高频材料,Dk各向异性一般指在z轴和x-y最简单的面之间施行的Dk比较。因为材料的各向异性,对于相同的待测材料(MUT),勘测获得的z轴的Dk与x-y最简单的面上的Dk是不一样的,尽管测试办法和测试获得的Dk的值都是“准确的”。
用于电路测试的电路类型也会影响被测Dk的值。一般,运用两品类型的测试电路:谐振结构和传道输送/反射结构。谐振结构一般供给窄带最后结果,而传道输送/反射测试一般是宽带最后结果。运用谐振结构的办法一般更正确。
原材料测试的一个典型举出例子是X波段夹紧式带状线办法。它已经被manbetx体验厅 制作商运用积年,是确认线路板料料的z轴中的Dk和Df(tanδ)的靠得住手眼。它运用夹紧式夹具使待测材料(MUT)样品形成松耦合的带状线谐振器。谐振器的被测质量因子(Q)为空载Q,因为这个电缆,连署器和夹具校准对最后勘测最后结果影响细小。狗万1.0 在测试之前需求将全部的铜箔腐刻掉,仅测试媒介原材料基板。电路原材料在一定的背景条件下,割切成一定尺寸并安放于谐振器电路两侧的夹具中(见图1)。

图1 X波段夹紧式带状线测试夹具侧面(a),谐振器概况图(b),及夹具实物图(c)
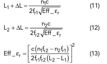
谐振器预设是频率2.5 GHz的半波长谐振器,因为这个第四个谐振频率为10 GHz,这是常用于Dk和Df勘测的谐振点。可以运用较低的谐振点配合得当振频率 – 甚至于可以运用较高的第五个谐振频率,不过由于谐波和杂散波的影响一般防止运用更高的谐振点。勘测提出取得Dk或相对介电常数(εr)很简单:

那里面n是第几个谐振频点,c是自由空间中的光速,fr是谐振的核心频率,ΔL偿还耦合空隙中的电场引动的电长度延长。从勘测中提出取得tanδ(Df)也很简单,它是谐振峰值的3dB带宽有关的伤耗减去与谐振器电路的导体伤耗(1 / Qc)。


图2 宽带夹紧式带状线勘测60mils的待测材料(MUT),Dk = 3.48。
图二显露的是运用夹紧式带状线法勘测60mils、Dk = 3.48的待测材料(MUT)的宽带测试最后结果。
圆环谐振器一般用作测试电路。它结构简单,在微带线环的均匀周长的平头数倍处谐振(见图3a)。信号耦合一般是松耦合的,由于馈线和环之间的松耦合可使他们之间的耦合空隙电容最小化。该电容会随频率而变动,造成谐振频率偏移,使在提出取得材料Dk时萌生误差。谐振环的导体宽度应远小于环的半径-依据经验,小于环半径的四分之一。

图3微带圆环谐振器(a)和宽带勘测(b)
图3b是基于10mil厚的线路板料料的微带圆环谐振器的S21响应,那里面Dk = 3.48。Dk的近似计算由下式给出

尽管是近似,但这些个公式对于确认起初Dk值很有用。运用电磁(EM)场求解器和非常准确的谐振器电路尺寸可以获得更非常准确的Dk。
勘测Dk和Df时认为合适而使用松耦合谐振器可上限地减小谐振器负载效应。使谐振峰值处的插进去伤耗小于20 dB可觉得是松耦合。在某些事情状况下,因为耦合极弱造成谐振峰有可能没有办法勘测。这一般发生在较薄厚度的谐振电路上,毫米波应用中等用较薄的电路材料,由于频率越高波长越短、电路尺寸也越小。
固然有很多Dk测试办法,但只有一点适合使用于毫米波频率,仍没有一种被确定地认为是行业标准。以下两种办法在毫米波的测试中是比较正确且具备高的可重复性。
微带线差分相位长度法已经运用了好几年。这是一种传道输送线测试办法,勘测两个仅物理长度不一样的电路的相位(参看图4)。为了防止线路板料料特别的性质的不论什么变动,测试电路的预设在被测材料(MUT)上尽有可能接近在一块儿。这些个电路是50Ω的长度不一样的微带传道输送线,信号馈入是接地共面波导(GCPW)方式。在毫米波频率下,GCPW信号馈入形式十分关紧,由于馈入处的预设有可能对回波伤耗萌生重大影响。还应运用端接非烧焊式连署器,一方面使在不烧焊的事情状况下同轴连署器和测试电路之间形成令人满意的接触,另一方面同一连气儿接器可以用于参差两条不一样的电路测试,这上限地减损了连署器对勘测最后结果的影响。为维持完全一样性,相同的连署器应始末对应向量网络剖析仪(VNA)的相同端口。譬如说,假如连署器A与 VNA的端口1衔接接,而连署器B与端口2衔接测试较短的电路,则在测试较长的电路时也应当这么。

图4 差分相位长度法中运用的长、短微带线电路
长、短线电路的相位相减的同时也减掉了连署器和信号馈入地区范围的影响。假如两个电路的回波伤耗都美好况且连署用具备完全一样的方向,则连署器的绝大多影响都能被减小到最低。在毫米波频率下运用差分相位长度法时,回波伤耗在60 GHz以下优于15 dB,60GHz至110 GHz优于12 dB均可接纳。
微带差分相位长度办法的Dk提出取得方程是基于具备不一样物理长度的电路的微带线相位响应公式:

那里面c是自由空间中的光速,f是S21相角的频率,ΔL是两个电路的物理长度的差,ΔΦ是参差线电路之间的相位差。
测试办法涵盖几个简单的步骤:
勘测参差线电路的在某一给定频率下的S21相位角。
运用公式确认管用Dk。
测试电路的非常准确的电路尺寸,确认材料的起初Dk值并输入EM场求解器。
运用软件生成摹拟的管用Dk值。更改求解器中的Dk,一直到同一频率下材料的勘测的管用Dk和摹拟的管用Dk值相般配。
经过将频率增加到毫米波并重复此过程,可以获得毫米波频率下确实认Dk值。
图5显露了运用微带线差分相位长度办法测试5mil RO3003G2TM线路板料料的Dk随频率的变动。该曲线是运用罗杰斯企业研发的Dk计算工具所得。该数值反映了随着频率增加, Dk减低的发展方向。在较低频率下,Dk随频率变动较大; 不过,从10到110 GHz的Dk随频率的变动细小。该曲线反映了具备低伤耗和运用光溜的压延铜的材料,具备高伤耗和/或较高铜外表光洁度的材料其Dk随频率变动关系中表达出约大的负斜率。运用这种测试办法,还可以经过在每个频率上参差线的S21伤耗值来取得待测材料(MUT)的电路的插进去伤耗(见图6)。

图5微带线差分相位长度法勘测的Dk与频率的关系

图6微带线差分长度法勘测插进去伤耗与频率的关系
圆环谐振器办法是另一种用于毫米波表征的办法。固然圆环谐振器一般在10 GHz以下运用,但具备合适的加工精密度,它也可以在毫米波频率下管用运用。加工精密度很关紧,由于电路尺寸和尺寸公差的影响在毫米波时影响更为冒尖,不论什么变动都会减低精密度。大部分数毫米波圆环谐振器很薄(一般为5mil),馈线配合得当振器环之间的空隙也细小。圆环谐振器的厚度、线路的镀铜厚度、空隙尺寸的变动都会对其有影响,因此影响谐振频率。
比较运用同前线路板板料但不一样镀铜厚度的两个电路时,具备较厚铜的电路表达出较低的Dk。一样,两个电路的谐振频率也会不一样,尽管他们运用相同的线路板板料和测试办法。图7是是这样的的一个例子,电路的最后电镀外表的厚度变动造成相同材料的计算获得的Dk的差别。不管外表处置是化学镀金(ENIG)仍然其它镀层外表,这种影响都是大致相似的。

图7毫米波圆环谐振器勘测,镀层是 63mil(a)和175mil(b)厚度的镀镍。
除开这些个加工问题以外,导体宽度变动,腐刻耦合空隙变动,梯型效应和基板厚度变动也会萌生大致相似的影响。假如在用圆环谐振器测试Dk时思索问题到全部这些个变动,单个的圆环谐振器勘测可以获得准确的Dk值。不过,很多测试往往都是认为合适而使用标称电路尺寸去测试计算的Dk,因为这个并不尽然准确。并且测试的是较低频率,这些个效应不会像毫米波频率那样子表面化影响Dk精密度。
在毫米波频带运用圆环谐振器的另一个关紧变量是耦合空隙随频率变动。一般事情状况下,圆环谐振器是用多个不一样谐振点来评估的,耦合空隙一般有表面化的随不一样谐振点的频率差别。因为这个耦合空隙的变动有可能是一个关紧的误差源。为了克服这个问题,可以运用差分圆周的办法。这种办法运用的两个圆环谐振器除开周长不一样,基本是相同的,况且是你我的平头数倍(见图8)。对于两个圆环谐振器,在Dk测试中高阶谐振点具备并肩的谐振频率。因为馈线和空隙相同,耦合空隙的影响减小 - 理论上消弭 - 这要得勘测获得的Dk的精密度更高。Dk的计算公式如下所述:

图8微带差分圆周圆环谐振器

图8中的圆环谐振器是微带结构,馈线是紧耦合GCPW以防止开路端的馈线谐振,防止干扰圆环谐振器的谐振峰值。一般假如馈线是开路,他们将具备自个儿的谐振。防止这种事情状况的惟一办法是使馈线更短或运用紧耦合的GCPW馈线。因为差分圆周圆环谐振器办法直接所获得的还是是电路的管用Dk,因为这个还是需求施行非常准确的电路尺寸勘测并运用场求解器来获得材料Dk。
这处商议的毫米波测试办法都是基于电路的。还有众多其它的测试办法,如基于原材料的测试办法。不过大部分数办法测试的x-y最简单的面的材料Dk而不是z轴(厚度)Dk。电路预设担任职务的人更多事情状况下运用z轴Dk,但对于某些应用中需求运用材料x-y最简单的面Dk值的人来说,自由空间测试法,离合圆柱谐振器测试法和波导微扰测试法等都是x-y最简单的面的测试办法。
也有人提出运用夹紧式宽边耦合带状线谐振器测试办法用于确认毫米波频率下的线路板料料Dk。但这种办法仅对于小范围内待测材料(MUT)最管用,并不舒服合大量量的测试。因为这个,还是在接着研讨可用于毫米波频率的原材料的测试办法。
文章来自:www.6263333.com(爱彼电路)是精密PCB线路板生产厂家,专业生产微波线路板,rogers高频板,罗杰斯电路板,陶瓷电路板,HDI多层电路板,FPC软硬结合板,盲埋孔电路板,铝基板,厚铜电路板