无线通信、光纤通信、高速数据网络产品不断推出,信息处理高速化、无线模拟前端模块化,这些对数字信号处理技术、IC工艺、微波PCB设计提出新的要求,另外对PCB板材和PCB工艺提出了更高要求。
如商用无线通信要求使用低成本的板材、稳定的介电常数(εr变化误差在±1-2%间)、低的介电损耗(0.005以下)。具体到手机的PCB板材,还需要有多层层压、PCB加工工艺简易、成品板可靠性高、体积小、集成度高、成本低等特点。为了挑战日益激烈的市场竞争,电子工程师必须在材料性能、成本、加工工艺难易及成品板的可靠性间采取折衷。
目前可供选用的板材很多,有代表性的常用板材有:环氧树脂玻璃布层压板FR4、多脂氟乙烯PTFE、聚四氟乙烯玻璃布F4、改性环氧树脂FR4等。特殊板材如:卫星微波收发电路用到蓝宝石基材和陶瓷基材;微波电路基材GX系列、RO3000系列、RO4000系列、TL系列、TP-1/2系列、F4B-1/2系列。它们使用的场合不同,如FR4用于1GHz以下混合信号电路、多脂氟乙烯PTFE多用于多层manbetx体验厅 、聚四氟乙烯玻璃布纤维F4用于微波电路双面板、改性环氧树脂FR4用于家用电器高频头(500MHz以下)。由于FR4板材易加工、成本低、便于层压,所以得到广泛应用。
下面我们从微带传输线特性、多层板层压工艺、板材参数性能比较等多个方面分析,给出了对于特殊应用的PCB板材选取方案,总结了高频信号PCB设计要点,供广大电子工程师参考。
1、微带传输线传输特性
板材的性能指标包括有介电常数εr、损耗因子(介质损耗角正切)tgδ、表面光洁度、表面导体导电率、抗剥强度、热涨系数、抗弯强度等。其中介电常数εr、损耗因子是主要参数。
高速数据信号或高频信号传输常用到微带线(Microstrip Line),由附着在介质基片两边的导带和导体接地板构成,且导带一部分暴露在空气中,信号在介质基片和空气这两种介质中传播引起传输相速不等会产生辐射分量、如果合理选用微带尺寸这种分量很小。
图一 基片结构示意
如图一基片结构所示,铜皮厚t一般很小,在0.5OZ(17μm、0.7mil)到1 OZ(35μm、1.35mil),导带特性有基片介电常数εr、线宽W、板厚d决定。
(1)微带传输线特性阻抗
微带传输线的特性阻抗Z0计算如下:当w/d ≤1,微带传输线的特性阻抗Z0表示为:
当w/d ≥1,微带传输线的特性阻抗Z0表示为:
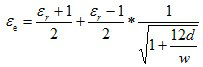
其中εe叫有效介电常数,是把两种介质对微带特性阻抗的贡献等效为一种假想的均匀介质。
(1)微带传输线特性阻抗
微带传输线的特性阻抗Z0计算如下:当w/d ≤1,微带传输线的特性阻抗Z0表示为:
![]()
当w/d ≥1,微带传输线的特性阻抗Z0表示为:

其中εe叫有效介电常数,是把两种介质对微带特性阻抗的贡献等效为一种假想的均匀介质。

图二说明了Z0和W/d、εr间的关系,W/d愈大Z0愈低、εr愈大Z0愈低。